Phương pháp tuyển nổi thường được sử dụng để tách các tạp chất (ở dạng hạt rắn hoặc lỏng) phân tán không tan, khả năng tự lắng kém ra khỏi pha lỏng. Trong một số trường hợp quá trình này cũng dùng tách các chất hòa tan như các chất hoạt động bề mặt. Quá trình như vậy được gọi là quá trình tách hay làm đặc bọt. Trong xử lý nước thải về nguyên tắc dùng để loại bỏ chất rắn lơ lửng hoặc dầu mỡ ra khỏi hỗn hợp nước thải và cô đặc bùn sinh học
Tuyển nổi là quá trình tách các tạp chất rắn không tan hoặc tan có tỉ trọng nhỏ hơn tỉ trọng của chất lỏng làm nền bằng cách sử dụng các chất hoạt động bề mặt hoặc các chất thấm ướt. Nếu sự khác nhau về tỉ trọng đủ để tách gọi là tuyển nổi tự nhiên
![]() |
| Modul bể tuyển nổi theo công nghệ Italy |
| Nhiệt độ(oC) | 0 | 10 | 20 | 30 |
| Ck (ml/l) | 29.2 | 22.8 | 18.7 | 15.7 |
| STT | THÔNG SỐ | ĐƠN VỊ | GIÁ TRỊ |
| 1 | Đường kính bể | m | 0.2 |
| 2 | Thể tích bể | m3 | 0.03 |
| 3 | Chiều cao bể | m | 0.5 |
| 4 | Diện tích bề mặt tuyển nổi | m2 | 0.03 |
| 5 | Đường kính ống trung tâm | m | 0.04 |
| 6 | Đường kính ngăn tạo bọt | m | 0.16 |
| 7 | Thời gian lưu nước | phút | 15 |
| 8 | Lưu lượng nước hoàn lưu | m3/h | 0.03 |
| 9 | Đường kính ống nước vào bể | m | 0.05 |
| 10 | Đường kính ống tuần hoàn | m | 0.02 |
| 11 | Công suất bơm | W | 750 |

| STT | THÔNG SỐ | ĐƠN VỊ | GIÁ TRỊ |
| 1 | Thể tích | m3 | 0.02 |
| 2 | Chiều cao | m | 0.4 |
| 3 | Đường kính | m | 0.08 |
| 4 | Thời gian lưu nước | phút | 2 |

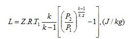
Chọn máy nén khí ly tâm 2 cấp
Năng suất của máy nén khí, chọn Qk= 23 (l/phút)= 1.38 (m3/h)
Áp suất đầu vào: P1=105 N/m2
Áp suất cuối: P2=3.165x105 N/m2
Xem thêm:
CÔNG NGHỆ TUYỂN NỔI KHÍ HÒA TAN VÀ NGUYÊN LÝ KHÍ VI BỌT
Ý kiến bạn đọc
TÍNH TOÁN THIẾT KẾ BỂ TRỘN_TÍNH TOÁN THIẾT KẾ BỂ KEO TỤ - TẠO BÔNG
Công nghệ IFAS (Intergrated fixed film activated sludge): Là công nghệ kết hợp đồng thời hai kỹ thuật xử lý bằng vi sinh: một là, kỹ thuật vi sinh...
Nước thải chế biến thủy sản chứa hàm lượng chất hữu cơ, dầu mỡ, đạm và mùi hôi cao, nếu không được xử lý đúng quy trình sẽ gây ô nhiễm nghiêm trọng...
Nước thải y tế được xem là một trong những loại nước thải nguy hại nhất, tiềm ẩn nhiều rủi ro đối với sức khỏe con người và môi trường. Thành phần của...
Tìm hiểu quy trình xử lý nước thải xi mạ hiệu quả, tiết kiệm chi phí với công nghệ mới nhất. Đảm bảo nước thải đạt QCVN 40:2025/BTNMT, loại bỏ kim...
Nhiều người sẽ đặt ra câu hỏi vì sao nước thải nhà hàng, khách sạn lại cần phải có hệ thống xử lý, để hiểu rõ hơn về vấn đề này chúng ta hay cùng nhau...
Ngành thuộc da sử dụng nhiều hóa chất và phát sinh lượng nước thải lớn, chứa các chất ô nhiễm nguy hại như crom, sulfite, chất hữu cơ, kim loại nặng…...
Nước thải sinh hoạt thường gây ô nhiễm môi trường cần được xử lý, ở bài viết này Đạt Hoàng Gia sẽ cung cấp đến cho quý khách hàng về công nghệ xử lý...
Khi hệ thống khí thải có các dấu hiệu như: khí thải đầu ra không đạt tiêu chuẩn, hệ thống thường xuyên bị hư hỏng, chi phí vận hành hệ thống cao,......
Nước thải nhiễm mặn là một đối tượng khá đa dạng và phức tạp, nhưng có đặc điểm chung là có nồng độ muối cao, đòi hỏi những công nghệ xử lý đặc biệt,...
Bể tự hoại là công trình xử lý nước thải bậc một (xử lý sơ bộ) đồng thời thực hiện ba chức năng: lắng nước thải, lên men cặn lắng và lọc nước thải sau...
Công nghệ Unitank là gì?Unitank là công nghệ hiếu khí xử lý nước thải bằng bùn hoạt tính, quá trình xử lý liên tục và hoạt động theo chu kì. Nhờ quá...
Trong điều kiện không có ôxy, các chất hữu cơ có thể bị phân hủy nhờ vi sinh vật và sản phẩm cuối cùng của quá trình này là các chất khí như metan...
Đất nước ngày một phát triển, kéo theo đó là sự phát triển như vũ bão của khoa học kĩ thuật. Đất nước ngày càng công nghiệp hóa, hiện đại hóa thì các...
Nước thải sinh hoạt có những đặc tính và chỉ tiêu chất lượng chung có thể phán đoán và đánh giá khi chọn các công trình xử lý đã phổ biến, còn nước...
Hóa chất dùng trong xử lý nước thải, sản phẩm chất phụ liệu cho chăn nuôi ngày nay không còn xa lạ với doanh nghiệp. Một hóa chất an toàn, ít ngây hại...
Hiện nay, ngành cao su nước ta đang phát triển mạnh mẽ và đem lại lợi nhuận lớn. Sự phát triển này đồng nghĩa với việc lượng chất thải ra môi trường...
Bể tự hoại đầu tiên xuất hiện ở Pháp vào năm 1860, do kỹ sư Fosse Mouras phát minh ra. Cho đến nay, loại công trình xử lý nước thải tại chỗ này đã...
Bể Tuyển Nổi là một công trình trong hệ thống xử lý nước thải. Với mục đích loại bỏ các chất rắn lơ lửng có kích thước rất nhỏ, không thể thu hồi ở...
Ngành bia – nước giải khát tại Việt Nam phát triển mạnh mẽ, kéo theo lượng nước thải lớn từ quá trình sản xuất và vệ sinh thiết bị. Loại nước thải này...
Quá trình phân hủy kỵ khí các chất hữu cơ là quá trình sinh hóa phức tạp tạo ra hàng trăm sản phẩm trung gian và phản ứng trung gian.
Trong xử lý nước thải, “Bể Anoxic” là bể quan trọng trong quá trình xử lý amoni và nitơ trong nước thải bằng phương pháp sinh học. Công nghệ khử nitơ...
Trong quá trình mạ, sinh ra bụi và khí độc hại. ví dụ như: HCN, N02, NO … bụi mù axit crôm, axit, kiềm … Những chất này ảnh hưởng nghiêm trọng đến môi...
CO2 được biết đến bởi tác động của nó đối với hiện tượng biến đổi khí hậu toàn cầu. Tuy nhiên CO2 có thể được tái chế thành nhiên liệu và hóa chất....
Công nghệ xử lý nước thải luôn đóng một vai trò đặc biệt quan trọng và ảnh hưởng tới hiệu xuất của hệ thống xử lý nước thải. Đó là điều hiển nhiên,...
MBBR là từ viết tắt của cụm từ Moving Bed Biofilm Reactor, là quá trình xử lý nhân tạo trong đó sử dụng các vật liệu làm giá thể cho vi sinh dính bám...
Xử lý nước thải sinh mạ dùng phương pháp xử lý như thế nào? bài viết này moitruongcms sẽ giới thiệu cho bạn biết
HƯỚNG DẪN THIẾT KẾ BỂ LẮNG NGANG1.1. Tính toán kích thước bể- Chiều dài của bể lắng- Vận tốc nước chảy trong bể (V0)- Vận tốc nước chảy trong bể (V0)
Trong quy trình công nghệ ngành dệt nhuộm có khoảng 88% lượng nước được sử dụng sẽ được thải ra dưới dạng nước thải, 12% còn lại bay hơi.Nhìn chung,...
Công nghiệp sản xuất giấy là một trong những ngành công nghiệp được hình thành và phát triển từ rất lâu! Cùng với sự phát triển của khoa học – kỹ...
Hầu hết các công đoạn trong quy trình giết mổ gia súc đều có sử dụng nước, do đó lượng nước thải là tương đối lớn, ước tính cứ trung bình một con heo...
Nước thải chăn nuôi nếu không xử lý kịp thời, đúng cách không chỉ gây hại đến sự sinh trưởng của vật nuôi mà còn gây ra các vấn đề môi trường như ô...
Có nhiều phương pháp xử lý Nito trong nước thải. Mỗi phương pháp đều có ưu và nhược điểm riêng, nên không thể nói phương pháp nào là tốt nhất
Xử lý nước thải với chi phí đầu tư thấp những vẫn đảm bảo chất lượng công trình là yêu cầu khắt khe của khách hàng đặt ra cho các doanh nghiệp, và đây...
Xử lý nước thải giặt là, khu xưởng giặt là với nước thải nhiễm BOD và COD cao. Bột giặt là một sản phẩm không thể thiếu trong công nghệ giặt tẩy nên...
Tổng hợp các bản vẽ hệ thống xử lý nước thải mới nhất hiện nay, các bạn có thể tham khảo tại đây